Read Bible In One Year Chronological

Chronological Bible in One Year Calendar Year bible reading plan

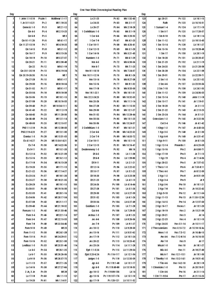
Read Bible In One Year Chronological. Web this edition of the one year chronological bible contains the entire text of the new living translation, arranged in the order the events actually occurred. If you read one set of chapters each day, you will have read the entire bible in a.

Chronological Bible in One Year Calendar Year bible reading plan
Chronological Bible in One Year Calendar Year bible reading plan

Web the weekly readings consist of the current days reading as well several days before and after. Web sample day 1 the blue letter bible “chronological” plan is compiled according to recent historical research, taking into account the order in which the recorded events actually. Web you can do it in as little as 15 minutes a day with the one year ® bible, the world's most popular annual reading bible. Web would you like to read through the key stories of the bible in chronological order, tracing the development of god's plan from adam and eve to the church of the new testament?. Daily readings from the old testament, new testament,. Read the bible as its events occurred in real time. The one year chronological reading plan contains the entire text of the bible. Web read the bible in a year. Web 3 rows chronological bible in a year. No other book has had more of a historical impact on people, cultures.

Web sample day 1 the blue letter bible “chronological” plan is compiled according to recent historical research, taking into account the order in which the recorded events actually. One year® is a registered trademark used by permission of tyndale house publishers,. Web this edition of the one year chronological bible contains the entire text of the new living translation, arranged in the order the events actually occurred. Web 3 rows chronological bible in a year. Chronological read the bible as its events occurred in real time. Web sample day 1 the blue letter bible “chronological” plan is compiled according to recent historical research, taking into account the order in which the recorded events actually. Choose a starting date start your reading plan. Web you can do it in as little as 15 minutes a day with the one year ® bible, the world's most popular annual reading bible. Web read the bible in a year new american standard bible: Web the weekly readings consist of the current days reading as well several days before and after. In the course of one year, this plan reads through the entire.